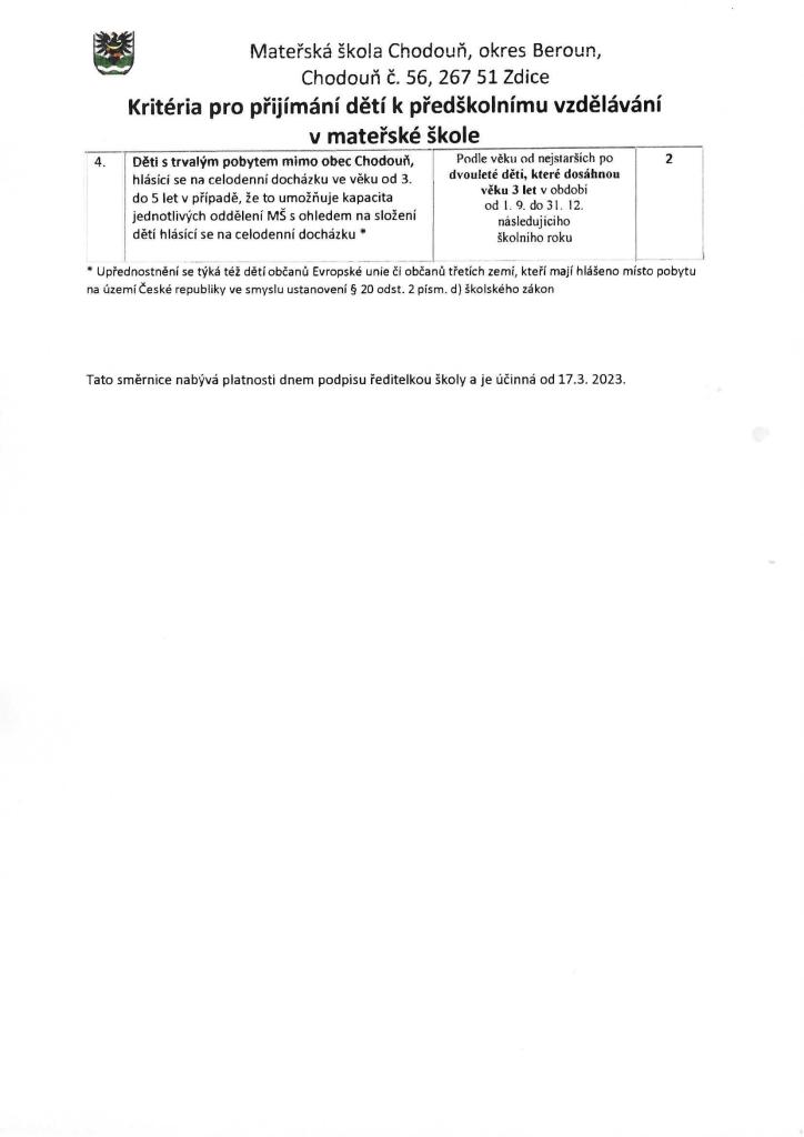
Kritéria pro přijímání dětí k předškolnímu vzdělávání v MŠ
Podrobnosti o vložení záznamu
Datum vložení:
24. 2. 2025 12:53
Datum poslední aktualizace:
24. 2. 2025 12:54
Autor:
Správce Webu
